559.Maxmium Depth of N Ary Tree
559.Maximum Depth of N Ary Tree
难度:Easy
给定一个 N 叉树,找到其最大深度。
最大深度是指从根节点到最远叶子节点的最长路径上的节点总数。
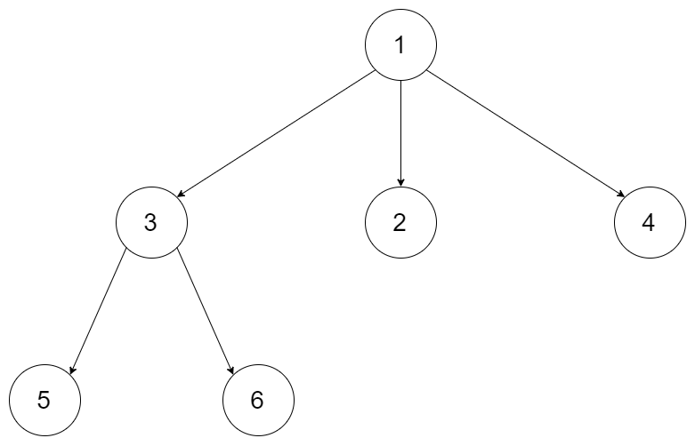
例如,给定一个 3叉树 :

我们应返回其最大深度,3。
说明:
树的深度不会超过 1000。 树的节点总不会超过 5000。
代码如下:
Last updated
Was this helpful?
559.Maximum Depth of N Ary Tree
难度:Easy
给定一个 N 叉树,找到其最大深度。
最大深度是指从根节点到最远叶子节点的最长路径上的节点总数。
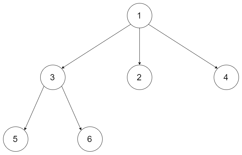
例如,给定一个 3叉树 :

我们应返回其最大深度,3。
说明:
树的深度不会超过 1000。 树的节点总不会超过 5000。
代码如下:
Last updated
Was this helpful?
Was this helpful?
/*
// Definition for a Node.
class Node {
public:
int val;
vector<Node*> children;
Node() {}
Node(int _val, vector<Node*> _children) {
val = _val;
children = _children;
}
};
*/
class Solution {
public:
int maxDepth(Node* root) {
if(!root) return 0;
int res=0;
for(auto i:root->children)
res=max(res,maxDepth(i));
return ++res;
}
};